EBOOK
  • Dmca
  • Contact
  • Privacy Policy
  • Copyright

Contagion Movie Worksheet Answers Pdf

Contagion Science Fact The Scientist Magazine

Contagion Science Fact The Scientist Magazine

With Coronavirus Outbreak People Turn To Film Contagion But

With Coronavirus Outbreak People Turn To Film Contagion But

Is The Science Presented In Contagion Relevant And Accurate

Is The Science Presented In Contagion Relevant And Accurate

Contagion Film Questions

Contagion Film Questions

Film Contagion Esl Worksheet By Msilia

Film Contagion Esl Worksheet By Msilia

Doc Contagion Film Nha Le James Orias Academia Edu
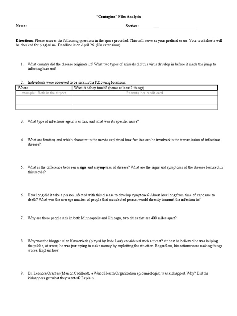
Contagion Contagion Exercise Questions Your Name 1 What Is The
Contagion Film Questions
Pdf Social Contagion Or Strategic Choice The Interpersonal
Contagion Film Analysis Questions Infection Public Health
Contagion Film Answer Key Docx Contagion Film Answer Key Who Is
Contagion And Differentiation In Unethical Behavior Pdf Norm
Contagion Worksheets Teaching Resources Teachers Pay Teachers
February 2014 Do Ask Do Tell Footnotes Library
A Civil Action Movie Guide Worksheet Answers Promotiontablecovers
Contagion Film Questions
Corona Virus And Exponential Growth Matheducation
Contagion Questions Worksheets Teaching Resources Tpt
Contagion Contagion Exercise Questions Your Name 1 What Is The
Creating Contagion With Agentcubes Online Pdf Free Download
Front Matter Antarctica A Keystone In A Changing World The
Dm 4037fdd6ca1a3fd77b6c39ed2794a1ec Videos Dailymotion
Film Contagion Esl Worksheet By Msilia
Contagion Film Pdf Contagion File Extended Assignment Kirsten
Contagion Film Questions
General Learning Strategies Part Iv The Cambridge Handbook Of
Film Contagion Esl Worksheet By Msilia
Contagion Movie Questions For Students Fill Online Printable
Contagion Teach With Movies
Em Out Phase Three Part 1 Pdf Abundanthope Net
New Born Piano Sheetpaper Musewiki Supermassive Wiki For The
Wren N Martin Answer Key Pdf Free Download Ophothakhe
Contagion Questions Worksheets Teaching Resources Tpt
General Learning Strategies Part Iv The Cambridge Handbook Of
Front Matter Resident Duty Hours Enhancing Sleep Supervision
Contagion Movie Worksheets Teaching Resources Tpt
Contagion Film Analysis Questions Infection Public Health
Contagion Film Questions Answers Free Epub On Operation
Contagion Movie Worksheets Teaching Resources Tpt
Contagion Film Answer Key Docx Contagion Film Answer Key Who Is
Https Www Commackschools Org Downloads Hamlet 20study 20guide Pdf
Pin On World War 2 Lessons And Activities
Contagion Movie Questions For Students Fill Online Printable
English Esl Movie Worksheets Most Downloaded 470 Results
Movie Activity Contagion Esl Worksheet By Andreafernandes
Potter Rebecca Environmental Science
30 Islam Empire Of Faith Worksheet Answers Worksheet Resource Plans
Contagion Misses Much Of The Real Drama Of Pandemics The New
Part 2 Medium Level Analysis Methods Planning And Preliminary
Contagion Movie Worksheets Teaching Resources Tpt
Contagion Movie Worksheets Teaching Resources Tpt
Boilers Boilers Test Questions
Contagion Film Questions
Hsci 488 Worksheet 1 Which Movie Did You Watch Contagion 2 Where
Movie Activity Contagion Esl Worksheet By Andreafernandes
Contagion Passive Voice Esl Worksheet By Claudioc
25 Fresh The Movie Worksheet Answers Worksheet Project List
Contagion Film Answer Key Docx Contagion Film Answer Key Who Is
Contagion Film Questions Fill Out And Sign Printable Pdf
Https Voxeu Org System Files Epublication Covid 19 Pdf
Contagion Movie Worksheet Fall 2018 General Microbiology Studocu
Symptoms Spread Testing And Terminology Answering Your
Contagion Film Questions Answers Free Epub On Operation
Contagion Video Worksheet Docx Contagion Post Film Questions
Https Encrypted Tbn0 Gstatic Com Images Q Tbn 3aand9gcs51y24bchcugocmxsdqtcbez3osykceuz2bbsnowwr46zioqri Usqp Cau
Copy Of Contagion Film Questions Name Eliana Nasrallah Contagion
Contagion Movie Worksheets Teaching Resources Tpt
249 Best School Images Teaching Science Science Classroom
Contagion Film Analysis Questions Infection Public Health
Dm 4037fdd6ca1a3fd77b6c39ed2794a1ec Videos Dailymotion
Contagion Other Quiz Quizizz
Https Encrypted Tbn0 Gstatic Com Images Q Tbn 3aand9gctobnjgiu2jxrulrrljcclc Iokmmf3010qjmffrvmpy3deo5jb Usqp Cau
Coronavirus English Esl Worksheets For Distance Learning And
Contagion Film Analysis Questions Infection Public Health
Contagion Movie Sheet Updated Movies Blockbuster Film Student
Mpt Full Syllabus 2011
Https Encrypted Tbn0 Gstatic Com Images Q Tbn 3aand9gcqw35debqgrjntybmxoqpvfpjqblcqpofbubtidv31otvan6q8d Usqp Cau
Contagion Film Analysis Questions Infection Public Health
Contagion Movie Extra Credit Homework Assignment Homework
25 Fresh The Movie Worksheet Answers Worksheet Project List
Esl Movie Lessons Movies Grow English Watch Movies Learn English
Contagion Film Analysis Questions Infection Public Health
With Coronavirus Outbreak People Turn To Film Contagion But
Https Encrypted Tbn0 Gstatic Com Images Q Tbn 3aand9gcqw35debqgrjntybmxoqpvfpjqblcqpofbubtidv31otvan6q8d Usqp Cau
Pdf The Tactile Topologies Of Contagion Transactions Of The
Contagion Movie Worksheets Teaching Resources Tpt
Contagion Docx Contagion Post Film Questions Name 1 Who Is
A Beautiful Mind Worksheet Answers Promotiontablecovers
Rsp Eit Booklet 9066788 En
Contagion Information From Get Ready On Infectious Disease Outbreaks
Centre For Disease Control 8 What Did The Monkey Do To Jamesjim In
Contagion Movie Questions Name Date Block Contagion Movie
Contagion Questions Worksheets Teaching Resources Tpt
Https Www Studocu Com En Us Document North Carolina State University General Microbiology Assignments Contagion Movie Worksheet Fall 2018 3567309 View
Contagion Movie Questions For Students Fill Online Printable
Contagion Movie Questions Name Date Block Contagion Movie
Contagion Questions Doc Analysis Of The Movie Contagion Extra
With Coronavirus Outbreak People Turn To Film Contagion But
Contagion Movie Worksheets Teaching Resources Tpt
2
Http Www Aai Org Aaisite Media Education Hst Archive 2012 Pascal Final Pdf
Contagion Movie Worksheets Teaching Resources Tpt
Https Voxeu Org System Files Epublication Covid 19 Pdf
Https Www Nctm Org Publications Mathematics Teaching In Middle School 2015 Vol21 Issue2 Mtms2015 09 90a Pdf

Random Posts

  • Service Repair Manual Fendt 260 Pdf
  • Unit 4 Historical Context Of Performance 440675 Pdf
  • Guide To Federal Pharmacy Law Pdf
  • Prentice Hall Grammar Exercise Workbook Answer Key Pdf
  • The Invisible War Pdf
  • Manual Usuario Mitsubishi Montero Pdf
  • Answers To The Study Questions Lord Of The Flies By Brantley Collins Jr Pdf
  • Mcgraw Hill Connect Answer Dynamic Business Law Pdf
  • Sapling Learning Answer Key Chemistry Readerdoc Com Pdf
  • Volvo Truck Engine Fault Codes Pdf
Dmca Contact Privacy Policy Copyright

Download Or Reading Online Volvo Truck Engine Fault Codes Pdf Here