EBOOK
  • Dmca
  • Contact
  • Privacy Policy
  • Copyright

Electricity Magnetism 3rd Edition Solutions Manual Pdf

Cambridge Igcse Physics Coursebook Second Edition By Cambridge

Cambridge Igcse Physics Coursebook Second Edition By Cambridge

Fundamentals Of Materials Science And Engineering 3rd Edition

Fundamentals Of Materials Science And Engineering 3rd Edition

Hecht Optics Solution Manual Pdf

Hecht Optics Solution Manual Pdf

4405f Electromagnetism Pollack And Stump Solutions Manual Wiring

4405f Electromagnetism Pollack And Stump Solutions Manual Wiring

Solutions Manual Electricity And Magnetism Nayfeh Instruction

Solutions Manual Electricity And Magnetism Nayfeh Instruction

Electricity And Magnetism 3rd Edition General And Classical
Https Www Studocu Com Es Document Universidad De Sevilla Management And Organizing Practica Solution Manual Edward Purcell Electricity And Magnetism 5002569 View
Electric Circuits Solution Manual Pdf Free Download
Power System Control And Stability 3rd Edition Wiley
Electrical Transformers And Rotating Machines 4th Edition Herman Solu
Https Www Studocu Com Es Document Universidad De Sevilla Management And Organizing Practica Solution Manual Edward Purcell Electricity And Magnetism 5002569 View
Solutions Manual To Tipler Physics For Scientists And Engineers
Electricity And Magnetism Amazon Co Uk Purcell Edward M Morin
Download Electric Machinery Fundamentals 4th Edition By Stephen J Cha
Http Alumni Media Mit Edu Aggelos Papers Em Hayt 6th Pdf
Download Electric Machinery Fundamentals 4th Edition By Stephen J Cha
Electricity And Magnetism Purcell Solutions Manual By
Morin Classical Mechanics Solution Manual
Https Www Studocu Com Es Document Universidad De Sevilla Management And Organizing Practica Solution Manual Edward Purcell Electricity And Magnetism 5002569 View
Electricity Electricity And Magnetism Purcell Pdf
Edward M Purcell David J Morin Electricity And Magnetism
Solution Manual For Probability And Statistics For Engineers And
Ebb01 Purcell Electricity And Magnetism Solutions Manual Cambridge
Static And Dynamic Electricity With Solutions Manual Pdf Free
Solution Manual For Engineering Economy 8th Edition Product
Https Www Studocu Com En Us Document University Of Alabama Electromagnetics Other Introduction To Electrodynamics Solution Manual David Griffiths 1063113 View
Physics Of Semiconductor Devices 3rd Edition Wiley
Static And Dynamic Electricity With Solutions Manual Pdf Free
Collection Of Physics Ebooks 1 Lista De Links Para Baixar
Book Elements Of Electromagnetics Sadiku 3rd Ed
Https Www Studocu Com Es Document Universidad De Sevilla Management And Organizing Practica Solution Manual Edward Purcell Electricity And Magnetism 5002569 View
Solution Manual For Accounting Information Systems 7th Edition By
Pdf Conceptual Physics Fundamentals Paul G Hewitt Solutions
Pdf Electricity And Magnetism Solution Manual By Edward Purcell
Solutions Manual Elements Of Electromagnetics By Sadiku 3rd
Materials Solution Pdf
Physics Books Pdf Free Download Stuvera Com
Pdf Instructor Solutions Manual Pdf Mark Rain Academia Edu
Introduction To Electrodynamics Wikipedia
Download Electric Machinery Fundamentals 4th Edition By Stephen J Cha
Electricity And Magnetism 3rd Edition General And Classical
Fundamentals Of Circuit Analysis
Electromagnetic Fields And Energy Haus And Melcher Pdf
Https Www Studocu Com Es Document Universidad De Sevilla Management And Organizing Practica Solution Manual Edward Purcell Electricity And Magnetism 5002569 View
Static And Dynamic Electricity With Solutions Manual Pdf Free
Electricity Electricity And Magnetism Purcell Pdf
Paul Lorrain Solutions Manual For Electromagneti Bookos Org
Edward M Purcell David J Morin Electricity And Magnetism
Complete Solutions Manual For Textbooks By Sbooks4sale Sbooks4sale
Electricity And Magnetism Practice Test Pdf Free Download
Purcell Solutions Manual Electricity Edition 3 Homework Etc Kitp
Electricity And Magnetism 3rd Edition General And Classical
Electricity And Magnetism Munir H Nayfeh Marton K Brussel
Pdf Edward Purcell Solution Manual Electricity And Magnetism
Solution Manual For Physics For Scientists And Engineers
4405f Electromagnetism Pollack And Stump Solutions Manual Wiring
Electricity And Magnetism Purcell 3rd Edition Free Download
Introduction To Robotics Mechanics Control By John Craig
Materials Solution Pdf
Solutions Manual Engineering Electromagnetics By Hayt 8th
Download Electric Machinery Fundamentals 4th Edition By Stephen J Cha
Classical Electromagnetic Radiation Solutions Manual
Electricity Magnetism And Light 1st Edition
Solutions Manual For Fitzgerald And Kingsleys Electric Machinery
Pdf Engineering Electromagnetics Solution Manual William H
Solutions Manual For Quantum Mechanics 1st Edition By Mcintyre
Holt Physics Problem 15a Answers
Https Www Studocu Com Es Document Universidad De Sevilla Management And Organizing Practica Solution Manual Edward Purcell Electricity And Magnetism 5002569 View
Purcell Solutions Manual Guide Mobi Electricity And Magnetism
Electricity And Magnetism Practice Test Pdf Free Download
Principles Of Electric Machines And Power Electronics 3rd Edition
Electricity And Magnetism 3rd Edition General And Classical
Electrical And Electronics Principle And Technology Pdf Docsity
Modern Physics By Arthur Beiser Free
Electromagnetism For Engineers 3rd Edition
Calameo Serway Physics For Scientists And Engineers With Modern
Kinematics And Dynamics Of Machinery Wilson Solution Manual
105213053 Electric Circuit Analysis Pdf O0mzmn7jxwld
45 Best Magnetism Books Of All Time Bookauthority
Electrical Transformers And Rotating Machines 4th Edition Herman Solu
Electricity Electricity And Magnetism Purcell Pdf
Pukuf Uyojvascg On Pinterest
Solution Manual Notes Signal Electrical Engineering Physics
Student Study Guide And Solutions Manual To Accompany Organic
Electricity And Magnetism Solutions Manual Instruction Djvu
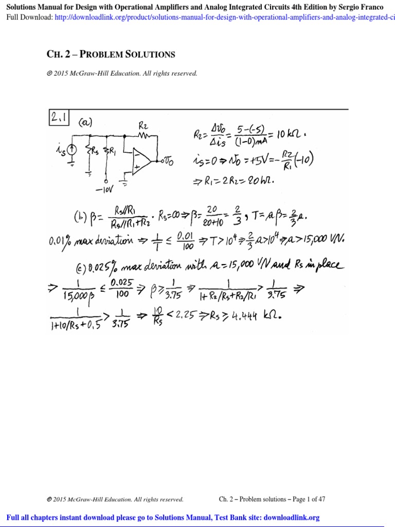
Solutions Manual For Design With Operational Amplifiers And Analog
Pdf Ebook And Solutions Manual Mark Rain Academia Edu
Electricity Electricity And Magnetism Purcell Pdf
Solutions Manual To Accompany Fundamentals Of Quality Control And
Griffiths Introduction To Electrodynamics 3rd Edition
Pdf Full Solutions Manual Mark Rain Academia Edu
Manual Edward M Purcell David J Morin Electricity And
Pdf Evaluating An Electricity And Magnetism Assessment Tool
Manual Edward M Purcell David J Morin Electricity And
Pdf Electricity And Magnetism By Edward Purcell 3rd Edition
Solution Manual Edward Purcell Electricity And Magnetism Studocu
Solutions Manual To Accompany Electricity And Magnetism Berkeley
Griffiths Electrodynamics Solution Manual 4th Edition
Materials Solution Pdf
Electricity And Magnetism Purcell Edward 9781107013605 Amazon

Random Posts

  • Mcgraw Hill Financial Accounting Connect Answers Auditing Pdf
  • Hsp Science Grade 4 Textbook Pdf
  • Chrysler Aspen Navigation System Manual Pdf
  • Revista 4th Edition Answers Pdf
  • Suzuki Ls650 Service Manual Download Pdf
  • Wojna Futbolowa Postscriptum Pdf
  • The Inhabitable Flesh Of Architecture Pdf
  • For The Right Reasons Pdf
  • Mccarthy Reynolds Local Government Nutshell Pdf
  • Geoscience Laboratory 5th Edition Tom Freeman Answer Key Pdf
Dmca Contact Privacy Policy Copyright

Download Or Reading Online Geoscience Laboratory 5th Edition Tom Freeman Answer Key Pdf Here